熱采法是最有效的回收稠油的方法,在稠油熱采過程中,注入油井蒸汽的質量流量和干度,大程度地影響著稠油的輸出,這使得對注井蒸汽參數的測量十分重要,這屬于汽水兩相流測量的問題。
在工業過程和科學研究中,兩相流的檢測一直是檢測科學一個焦點。Murdock等建立了孔板分離流模型,James等建立了改進的孔板均相流模型。以上兩模型用兩相密度比修正后,進一步提高了模型精度,并擴大了適用范圍。
兩相流動是一個隨機過程,兩相流體中的相分布在空間和時間上都是隨機的。由此隨機性在測量過程中產生的噪聲,如孔板差壓脈動,是人們在兩相流檢測的實踐中熟知的物理現象。然而,根據傳統的測量理論,此噪聲僅僅是檢測系統中的干擾信號。根據現代檢測理論的觀點,噪聲也是過程系統輸出的一種信息。通過對噪聲機理的分析,建立噪聲的統計濾波模型,便可獲得與被檢測變量相關的定量信息,從而建立噪聲檢測兩相流的實用理論模型。
1、孔板差壓噪聲測量汽水兩相流的理論模型
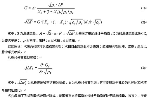
假設:汽液兩相分別流過孔板;無相間動量交換;無相變過程;滿足絕熱條件。
由此得到理想化的孔板分離流模型為:

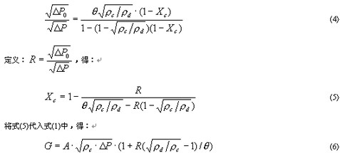
越小,差壓噪聲越大。
將式(3)的兩邊分別除以式(2)的兩邊,可得:
式(5)、(6)即為利用孔板差壓噪聲測量汽液兩相流雙參數(例如質量流量和干度)的理論模型。其物理意義明確,形式非常簡單,無須變換便可直接應用于微機儀表。
實測的汽水兩相流孔板差壓方根的相對統計方差(R),大者可達百分之幾十,小者也有百分之幾,對于干度變化的反應相當靈敏。
2、汽水兩相流雙參數測量儀表
根據上述的模型,作者研制成功與單孔板配套的測量儀表。該儀表核心是Intel 8098 CPU,配置32K ROM和8K RAM,還包括8個LED,8個按鍵以及微型打印機。一臺開關穩壓電源為儀表和變送器提供電能。
來自壓力變送器和差壓變送器的4~20毫安直流信號經I/V轉換成1~5伏電壓信號,再經A/D變換成數字量。數字濾波和統計估計可得數學模型計算所需的P、 和 。并按壓力P由相應子程序計算密度和熱焓,從而算出汽水兩相流的干度、質量流量和攜帶熱量,并對流量和熱量進行累積運算。鍵盤和LED用于常數設置和結果顯示,微打可定時或立即打印結果。D/A接口輸出干度信號,RS232接口可與上位機進行通訊。儀表原理框圖如圖1所示。
圖1 儀表框圖
3、儀表在油田中的應用
利用孔板測量汽水兩相流實驗的78組數據,確定了比例系數 值。以下實驗數據來自遼河油田的兩個油井。表1顯示了采用本儀表和傳統采樣法所得的干度數據的差別。表2顯示了采用本儀表和傳統孔板流量計測得的流量數據的差別。
[表1]
時間 |
9:00 |
9:15 |
9:30 |
9:45 |
10:00 |
10:15 |
10:30 |
10:45 |
11:00 |
本儀表 |
68 |
66 |
65 |
67 |
70 |
68 |
68 |
67 |
68 |
采樣 |
73 |
73 |
73 |
74 |
75 |
74 |
74 |
75 |
75 |
誤差(%) |
5 |
7 |
?8 |
7 |
5 |
6 |
6 |
8 |
7 |
[表2]
時間 |
9:00 |
9:15 |
9:30 |
9:45 |
10:00 |
10:15 |
10:30 |
10:45 |
11:00 |
本儀表 |
8.184 |
8.012 |
8.189 |
8.203 |
8.021 |
8.086 |
8.012 |
8.103 |
8.085 |
孔板流量 |
8.2 |
8.2 |
8.2 |
8.2 |
8.1 |
8.1 |
8.1 |
8.1 |
8.1 |
誤差(%) |
0.195 |
2.293 |
0.134 |
-0.04 |
0.975 |
0.173 |
1.086 |
-0.037 |
0.185 |
從以上數據可以看出,儀表測得的質量流量與直流鍋爐的給水孔板流量相比較,誤差小于5%;干度的誤差小于10%。
4、結論
(1)在汽水兩相流中的孔板差壓噪聲是由于兩相流中相密度分布的不均勻性和孔板的相分離效應引起的。其差壓噪聲的方差包含著相比分和質量流量的信息。利用孔板噪聲測量汽水兩相流干度和質量流量的理論模型,經實驗證明與實際基本相符。從而實現了用單一孔板同時測量汽水兩相流雙參數(干度和流量)。
(2)汽水兩相流雙參數測量儀表與傳統儀表相比,測量誤差基本相同,但結構簡單,而且具有更強的性能指標。
本文渦街流量計,江蘇省蘇科儀表有限公司為您提供,轉載請注明出處!!